A sideways look at economics
Brexit: 7/1 for the UK to leave the EU. Trump: 5/1 to win the next presidential election. Do bookmakers know anything about politics? Today we aim to answer that question.
First impressions are important, or so they say. In my first week at Fathom, a colleague was looking slightly bemused when assessing the odds on the timing of the next UK general election. I quickly volunteered my services, confessing to a certain level of expertise regarding betting markets. Maybe not the wisest thing to admit to early doors, but hey, at least I wasn’t confessing to being convicted of Nespresso capsule theft, or to sharing TMI (too much information) about my weekends. These are the things that really damage credibility in an office environment. Admitting to liking the occasional weekend flutter is fine, it just makes people less likely to trust you with the Christmas party budget.
Here at Fathom, we use betting odds as one of many indicators of future political and economic events. In the last month, we’ve discussed the betting odds of the next Fed Chair, of the timing of the next UK general election and of Theresa May being re-elected. That last one was a short conversation. The range of political markets is widening all the time, with the opportunity to bet on the third division of the Colombian football league and virtual horseracing apparently offering insufficient choice for punters. As someone who has a casual interest in odds compilation, I started to think about how insightful current affairs odds are compared to their more traditional sporting counterparts.
Before getting to the numbers, we need to quickly cover Betting 101. First, a bookmaker’s odds are not purely an indication of the outcome expected by that company. Instead, the odds represent a combination of the bookmaker’s expectations and the distribution of bets in the market. Should a high percentage of the bets be placed on one outcome, the odds on that outcome will shorten (i.e. the implied probability of that event occurring will rise). Second, those poor old bookmakers need to earn a living, so their odds incorporate a profit margin (an ‘over-round’ as it’s known in the trade) to ensure that, whatever happens, they’ll win in the long run.
To assess the effectiveness of political odds as a predictor, I used an event study which compares results in the 2017 UK general election with horseracing’s 2017 Cheltenham Festival. I’ve heard some terribly cruel comparisons between politicians and a range of animals before, but to my knowledge, this is the first with the gee-gees. The study uses Betfair odds for bets placed before midnight on 7 June 2017 (the day before the general election) and at the starting time of each of the 28 races. In the case of the general election, a total of 20 markets are assessed — these include the number of parliamentary seats won by the Conservatives and Labour, the number of registered votes and the number of female MPs.
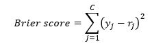
To evaluate the effectiveness of betting markets in predicting the outcome of each event, a Brier score is calculated. A Brier score compares implied probabilities and outcomes and penalises inaccuracy, i.e. occasions where either an outsider is successful or a favourite is beaten. The calculation is:
where C is the number of runners in that market, yj is the probability of outcome j occurring according to its odds and rj is the outcome (which takes the value of 1 for winners and 0 for losers).
The lower the Brier score, the more useful odds are in forecasting the outcome. Odds compiled by Mystic Meg, were she a bookmaker, would have perfect forecast accuracy and a Brier score of 0. The Brier score of the Bank of England and its forecasting peers when predicting UK recessions (see our recent research, ‘Spotting UK recessions’) would be a tad higher! The worst possible Brier score is 2, where complete certainty is associated with the wrong outcome. Where odds are equal for all possible outcomes, the Brier score will range from between 0.5 and 1, depending on the number of possibilities.
So, to our results then! Are political odds as helpful as their sporting counterparts in seeing the future? In fact, they are more useful. Before we get too excited, though, perhaps the comparison between racing and political markets is unreasonable. When considering the mechanics of the Brier score more deeply, it’s clear that a larger number of possibilities pushes the score up. A Brier score for an outcome with an infinite number of equal probabilities is one, while a Brier score for a market with two equal probabilities is 0.5. There was an average of 17 runners in the Cheltenham markets, while the general election, there was an average of only three possible outcomes.
As an alternative comparison, I assessed the Brier score for the match result of all 110 Premier League matches this year.¹ In each of these markets, there are only three possible outcomes: home win; draw; and away win. The results show a considerably lower Brier score, but still comfortably above the mean and median result for the general election markets. With more similar market structures, the political betting odds again outperformed the sporting ones.
So, should we ditch our political analysis and look to the betting odds when the next vote comes around? Not necessarily. All the Brier score tells us is that, for the events sampled, political odds were more insightful than their sporting counterparts. It doesn’t mean they’re always reliable — for instance, the Conservatives failed to win more than 337 seats, despite being heavily odds-on to do so. All we can say is that betting markets are a useful indicator when used alongside fundamental analysis. As far as I’m concerned, this means I can definitely justify the occasional trip to the bookies — strictly for research, of course!
1.The Premier League odds were sourced from Bet365, as opposed to Betfair.

